Servidor PREMIUM RF1
Adecuado para las condiciones y los casos de uso más exigentes, el armario se basa en un bastidor de alta resistencia soldado por láser a partir de un perfil patentado. Gracias a ello, el RF1 alcanza la máxima rigidez de bastidor y una capacidad de carga de hasta 2.000 kg.







Presentación del producto
El servidor PREMIUM RF1 es un armario nuevo y sin rival de la serie Premium diseñado para los clientes más exigentes y los centros de datos más modernos.
Los nuevos tipos de raíles con marcas de posición en U son muy fáciles de fijar, ofreciendo un extraordinario grado de variabilidad de la disposición interna. Una puerta perforada al 86% puede abrirse hasta un ángulo de 190°.
El armario RF1 es compatible con todos los sistemas CONTEG de refrigeración, optimización del flujo de aire y gestión flexible de cables, así como con muchos sistemas adicionales, como sistemas de acceso, PDU, alimentación inteligente y sistemas de extinción de incendios.
Principales ventajas del producto
- Alturas 27, 42, 47, 52U (RF1 apilados verticalmente - hasta 108U de espacio)
- Gran capacidad de carga: hasta 2.000 kg
- Adecuado para equipos informáticos pesados
- Robusto bastidor soldado con diseño patentado
- Máximo espacio interior utilizable del armario
- Inigualable índice de perforación de la puerta del 86%; diseño de una o dos hojas
- Dos tipos de raíles verticales con marcas de posición U y ajuste de profundidad
- 12/24U adicionales en armarios de 800 mm con raíles verticales tipo A
- Fácil conversión de 19"" a 21"" o 23"" en armarios de 800 mm con raíles verticales tipo V
- Desmontaje y montaje de la puerta sin herramientas
- Amplia gama de accesorios
- Fácil extracción del armario del palé de transporte
Información
Características principales
Nombre de la línea de productos |
Servidor PREMIUM RF1 |
---|---|
Altura (U) |
27, 42, 47, 52
|
Profundidad (mm) |
800, 1 000, 1 200
|
Anchura (mm) |
600, 800
|
Capacidad de carga (kg) |
2000 |
Puerta principal |
Puerta perforada - índice de perforación del 86% Manilla de palanca abatible - perfil DIN, llave universal 333, cerradura de combinación numérica opcional o cerraduras electrónicas, de uno o varios puntos Ángulo de apertura de la puerta de hasta 190° Lado de las bisagras de la puerta fácil de cambiar Desmontaje y montaje sin herramientas Opcional: de una hoja, con acristalamiento dividido verticalmente, totalmente de chapa, con un alto índice de perforación del 86%. |
Puerta trasera |
Puerta dividida verticalmente con perforación - índice de perforación del 86% Manilla de palanca abatible - perfil DIN, llave universal 333, cerradura de combinación numérica opcional o cerraduras electrónicas, de uno o varios puntos Opcional: de una hoja, con acristalamiento dividido verticalmente, toda de chapa, con un alto índice de perforación del 86%. |
Paneles laterales |
Paneles laterales completos divididos horizontalmente Desmontables con cerraduras Fácil instalación suspendida Fijación opcional de los paneles laterales - DP-DR-SSP-RF1 |
Tapas superiores |
Diseño de una pieza, desmontable 2 aberturas laterales para cables con cepillos de plástico 88 mm de ancho y 600/800/1000 de largo para armarios de 800/1000/1200 mm de profundidad Abertura para unidad de ventilación: ~ 420 x 280 mm abertura cubierta por una tapa de chapa desmontable permite la instalación de una unidad de ventilación con hasta 6 ventiladores ~ 420 x 440 mm abertura cubierta por una tapa de chapa desmontable permite la instalación de una unidad de ventilación con hasta 9 ventiladores (sólo para 800 mm de ancho con armarios de 1000 y 1200 mm de profundidad) Otros tipos bajo pedido |
Tapa inferior |
Diseño desmontable Primera parte frontal de 240 mm de profundidad, otra parte opcional |
Pies / ruedas |
M12 regulable en altura, zócalo o zócalo con reborde a pedir por separado |
Rieles |
2 pares de raíles verticales deslizantes tipo A de 19" (600 y 800 mm) añaden 24U de espacio de instalación en armarios de 800 mm, aplicable a racks de 42U y superiores, ajustables desde el interior Opciones para armarios de 800 mm de ancho: 2 pares de raíles excéntricos deslizantes tipo V con anchura ajustable desde el exterior a 19, 21 ó 23", capacidad de carga 1500 kg Marcas de posición en U pintadas en negro tanto en el lado izquierdo como en el derecho Marcas en los soportes horizontales para facilitar el ajuste de las posiciones de los raíles - izquierda y derecha |
Grado de protección IP |
Estándar IP00 IP 20 si la cubierta inferior está instalada IP 40 cuando la puerta completa, la cubierta inferior y la cubierta superior están instaladas Opciones: hasta IP 54, sólo con cerradura multipunto Preparación para aire acondicionado - IP 54, sólo cuando la unidad de aire acondicionado está instalada con cerradura multipunto |
Diseño de color |
pintura en polvo RAL 7035 o RAL 9005, otros colores bajo pedido |
Aire acondicionado |
compatible con unidades de aire acondicionado de techo, murales y laterales - CoolSpot y CoolTeg |
Configuración estándar |
Puerta delantera con perforación del 86% con cerradura de palanca giratoria multipunto Puerta trasera dividida verticalmente con perforación del 86% con cerradura de palanca giratoria multipunto 2 pares de guías de deslizamiento tipo A de 19" Soportes de guías horizontales 2 pares de paneles laterales divididos horizontalmente con cerraduras Bastidor del armario Cubierta desmontable en forma de H con entradas de cables laterales y una abertura para la unidad de ventilación Kit de cubierta inferior dividida (incluye la primera parte) Kit de conexión a tierra/GND 28 kits de montaje |
Vídeo
Para descargar

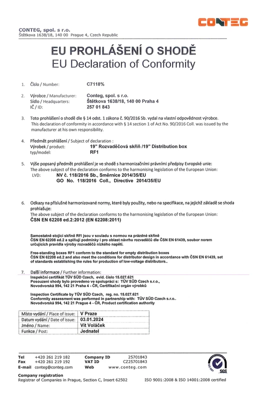
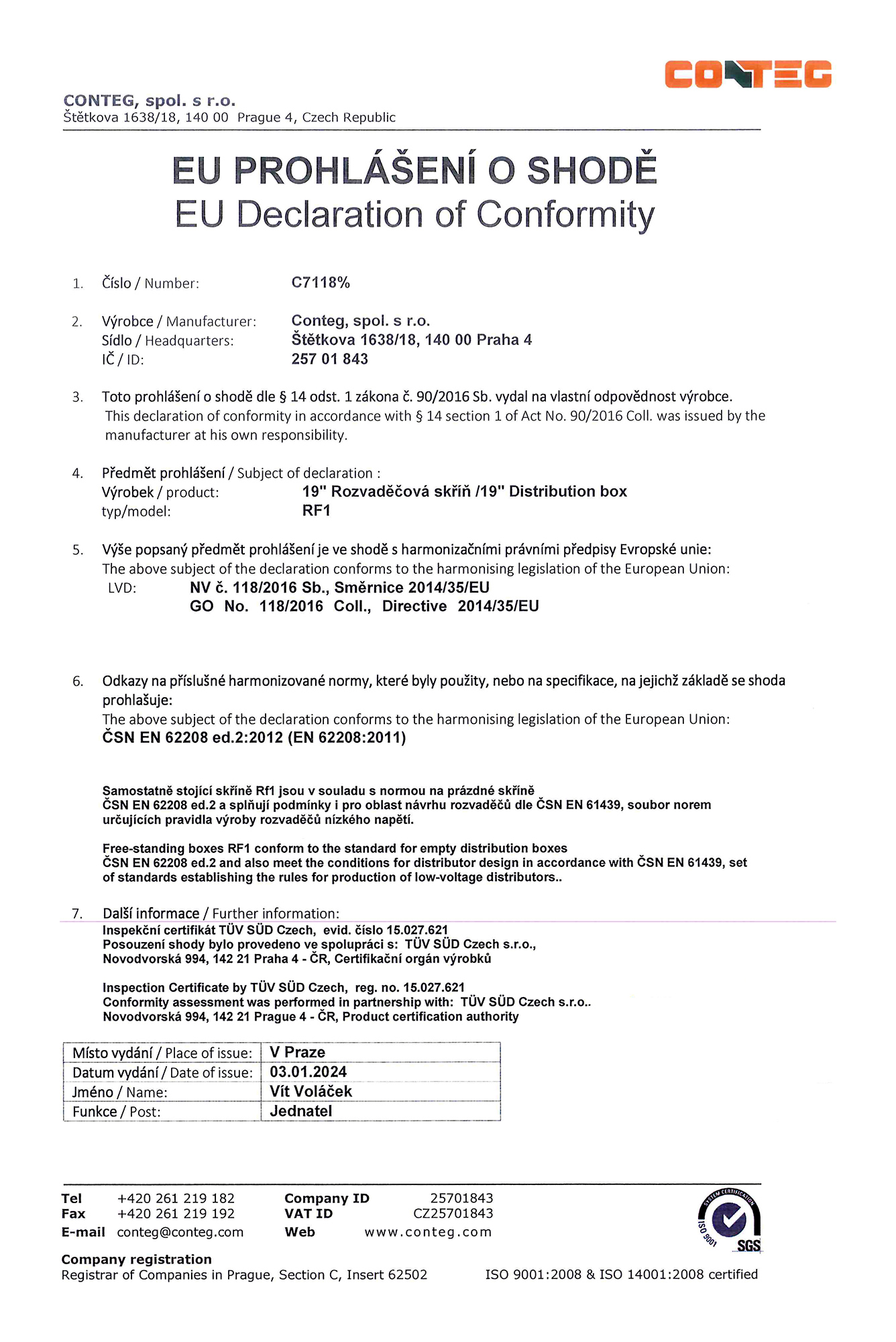
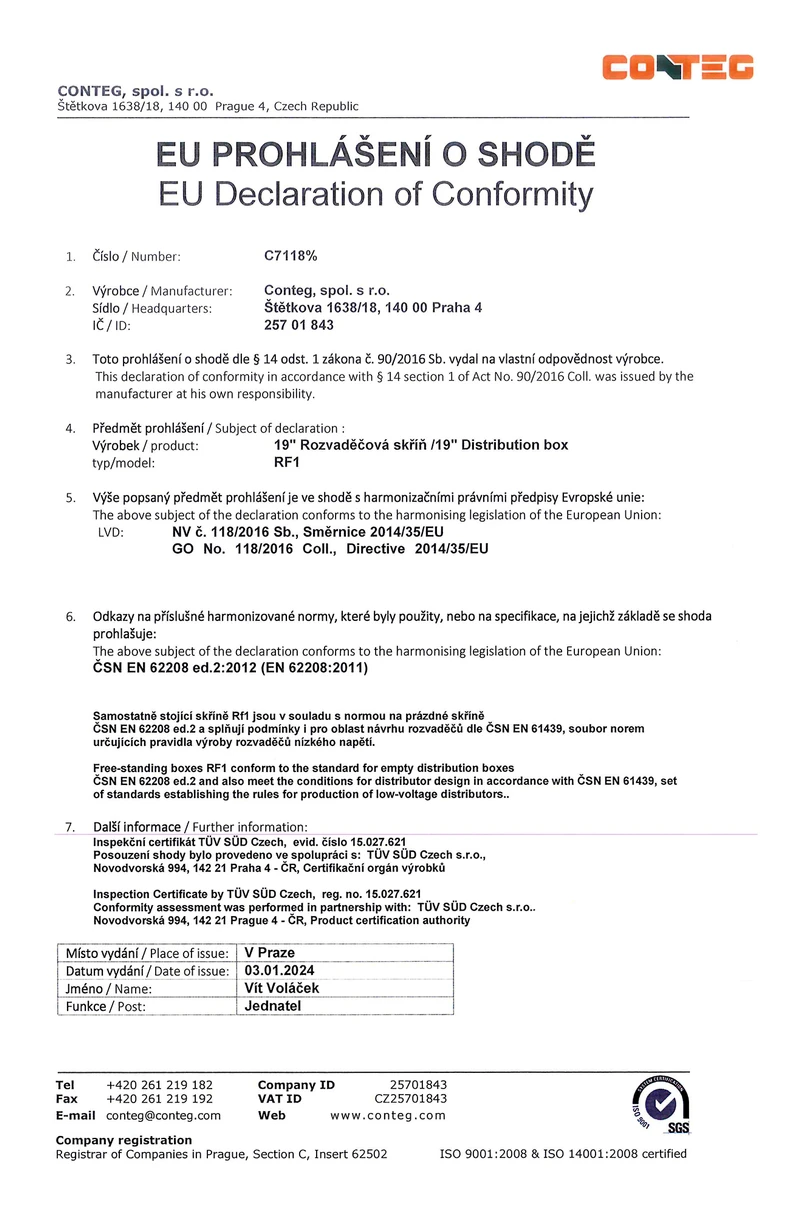
EU declaration of conformity for RF1

PREMIUM-Server-RF1-42U-800x1200-A_plus_CoolSeven_AC-C7-DX-xxxxxxx_web

PREMIUM-Server-RF1-42U-800x1200-A_plus_CoolSeven_AC-C7-DX-xxxxxxx_HDWM_web

PREMIUM-Server-RF1-42U-42a27U-42a42U

PREMIUM-Server-RF1-42U-800x1200-A_RAL9005-2004-6033-WEB

PREMIUM-Server-RF1-27U-800x1200

PREMIUM-Server-RF1_42U-800x1200-A_RAL9005_without-side-panels

cca-uzavrena-ulicka-PREMIUM-Server-RF1-CoolTop-OptiWay

PREMIUM-Server-RF1-42U-800x1200-A_RAL7035-opened-front-door-WEB

PREMIUM-Server-RF1-42U-800x1200-A_RAL9005-posuvna-lista

PREMIUM-Server-RF1-42U-800x1200-A_RAL9005-posuvna-lista-WEB

PREMIUM-Server-RF1-42U-800x1200-A_RAL9005-RAL7035-WEB

three_PREMIUM-Server-RF1-42U-800x1200-A_plus_CoolTop-WEB

PREMIUM-Server-RF1-42U-800x1200-A_RAL7035-split-doors

PREMIUM-Server-RF1-42U-800x1200-A_RAL7035-WEB

PREMIUM-Server-RF1-42U-800x1200-A_RAL-9005
